What happens to your body and mind during a five-day water fast?

A weeklong water-only fast can shed kilos and boost mood, but also drives inflammation and greater muscle loss than fat, highlighting the need for caution and psychological readiness in extended fasting strategies.

Study: Physiological and psychological responses to five-day fasting. Image Credit: fizkes / ShutterstockStudy: Physiological and psychological responses to five-day fastingImage Credit: fizkes / Shutterstock

In a recent article published in the journal PLOS ONE, researchers in Lithuania investigated how a five-day fasting period affects physiological markers and body composition, as well as how psychological traits relate to changes in fat and lean mass.

They found that after fasting, participants showed lower weight, decreased levels of glucose, insulin, and leptin, and higher levels of ketones. Improvements in mood were also observed, with higher fat loss associated with lower impulsivity and enhanced emotional well-being.

Background

Intermittent fasting has gained attention for its wide-ranging biological benefits, including improved antioxidant defenses, deoxyribonucleic acid (DNA) repair, autophagy, and potentially reduced inflammation. However, the study revealed unexpected inflammatory responses during fasting.

It is considered a preventive strategy against obesity, insulin resistance, neurodegenerative diseases, and cardiovascular issues. Fasting induces a metabolic switch from glucose to fat-derived ketones, which enhances both brain and peripheral organ function.

This metabolic adaptation is associated with increased brain-derived neurotrophic factor (BDNF), supporting neuroplasticity, cognition, and mood regulation. Peripheral signals, such as ketones and irisin (a muscle-derived myokine), also contribute to these benefits. Contrary to expectations, the study found no increase in BDNF and a significant decrease in irisin.

Fasting influences hormones and biomarkers, including insulin, leptin, adiponectin, and irisin.

Adiponectin plays a key role in energy regulation by activating adenosine monophosphate-activated protein kinase (AMPK), which boosts glucose uptake and fatty acid oxidation. Irisin contributes to cardiometabolic health and tissue remodeling, though levels decreased during this fasting protocol.

About the study

This study involved 42 healthy women aged between 40 and 60, selected based on strict inclusion and exclusion criteria to ensure sample consistency. Participants had a stable body weight, were not taking medications that alter metabolism, and did not have major chronic illnesses. Notably, 72% had attempted weight loss in the past five years, though not recently.

The study had a preparatory stage (four weeks) and a fasting stage (five days). During preparation, participants were advised to eat three regular meals per day without snacks.

During the fasting period, they consumed only water. They followed a structured daily routine, which included 50-minute morning exercises, five- to seven-km walks, educational sessions, and a physician-supervised sauna and massage schedule.

Various assessments were conducted before and after fasting. Anthropometric data were measured while physical activity was assessed through a questionnaire. Emotional intelligence, mood, personality traits, perceived stress, and health behaviors were measured using validated self-report tools. Life satisfaction and happiness were rated on a 10-point scale.

Blood samples were collected before and after fasting, processed under strict conditions, and analyzed for biomarkers such as leptin, adiponectin, BDNF, irisin, IL-6, TNF-alpha, and insulin. Capillary blood glucose and ketone levels were also monitored.

Data analysis included normality testing, paired t-tests, chi-square tests, and Pearson correlations. Effect sizes and reliability were reported.

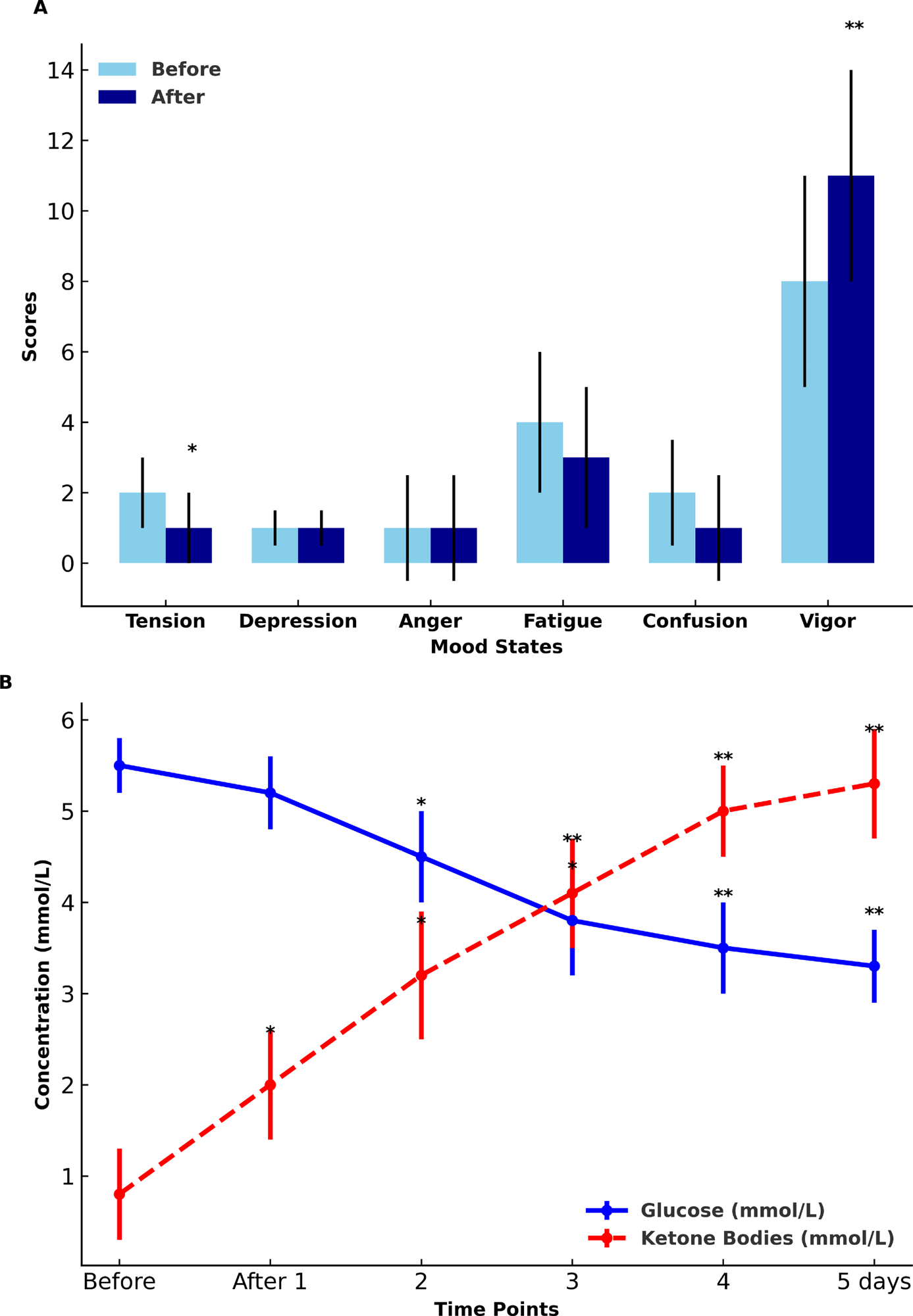
Changes in glucose and ketone bodies (A) and mood indicators (B) before and after five days of fasting.

Changes in glucose and ketone bodies (A) and mood indicators (B) before and after five days of fasting.

Key findings

The study included 42 middle-aged women with a mean body mass index (BMI) of 30.8 kg/m², most of whom were university-educated and held sedentary occupations. Over half exercised regularly, and 72% had previously lost weight (average 10.5 kg), though not in the three months preceding the study.

During the fasting period, participants experienced a significant average body mass reduction of 4.25 kg (4.8%), with fat mass dropping by slightly over 1 kg (3.7%), and lean body mass (LBM) decreasing by 3.18 kg (5.4%) – a greater relative loss than fat mass, raising concerns about muscle preservation during extended fasting. Waist circumference decreased by 6.6 cm, though the visceral fat area (DWF) did not change significantly and even tended to increase slightly.

Basal energy expenditure (BEE) declined by 2.5%, while relative BEE increased. Blood glucose, insulin, and leptin levels dropped significantly, and ketone bodies increased fivefold. BDNF and adiponectin remained unchanged, while irisin decreased significantly. Inflammatory markers TNF-alpha and IL-6 increased by 25.9% and 52.2% respectively. Diastolic and systolic blood pressure did not change significantly.

Psychologically, participants reported increased vigor and reduced tension. Correlational analysis showed that higher pre-fasting adiponectin levels predicted greater fat loss and less LBM reduction.

Higher emotional intelligence and lower impulsivity correlated with greater fat loss, while neuroticism and tension correlated with more lean mass (LBM) loss. A strong positive correlation was observed between LBM and BEE decline, and an inverse relationship was found between fat mass loss and the decrease in BEE.

Conclusions

This study demonstrated that fasting for five days induced notable psychological and metabolic changes, including reductions in glucose, leptin, and insulin levels, as well as a decrease in waist circumference, and an increase in ketone production alongside unexpected rises in inflammatory markers (IL-6/TNF-α).

Mood improved, with higher vigor and reduced tension. Notably, BDNF and adiponectin levels remained unchanged while irisin decreased, suggesting complex physiological adaptations beyond metabolic changes.

Psychological traits showed correlational (not necessarily causal) relationships with outcomes: Higher EI and lower impulsivity were associated with greater fat loss, while neuroticism and tension predicted greater LBM loss. The disproportionate loss of lean mass highlights muscle preservation as a key consideration in extended fasting protocols.

The study's strengths include its focus on objective biomarkers and mood indicators. However, limitations include the absence of a control group, the homogenous participant pool (middle-aged women), participants' prior weight loss history potentially influencing results, and uncontrolled lifestyle factors. The authors emphasize that correlations do not imply causation between psychological factors and physiological outcomes.

Despite these limitations, the study highlights that individual psychological factors may affect fasting outcomes. Personalized approaches to fasting, considering emotional and psychological readiness, may optimize its effectiveness and safety.

Journal reference:
Priyanjana Pramanik

Written by

Priyanjana Pramanik

Priyanjana Pramanik is a writer based in Kolkata, India, with an academic background in Wildlife Biology and economics. She has experience in teaching, science writing, and mangrove ecology. Priyanjana holds Masters in Wildlife Biology and Conservation (National Centre of Biological Sciences, 2022) and Economics (Tufts University, 2018). In between master's degrees, she was a researcher in the field of public health policy, focusing on improving maternal and child health outcomes in South Asia. She is passionate about science communication and enabling biodiversity to thrive alongside people. The fieldwork for her second master's was in the mangrove forests of Eastern India, where she studied the complex relationships between humans, mangrove fauna, and seedling growth.

Citations

Please use one of the following formats to cite this article in your essay, paper or report:

  • APA

    Pramanik, Priyanjana. (2025, June 09). What happens to your body and mind during a five-day water fast?. News-Medical. Retrieved on January 17, 2026 from https://appetitewellbeing.com/news/20250609/What-happens-to-your-body-and-mind-during-a-five-day-water-fast.aspx.

  • MLA

    Pramanik, Priyanjana. "What happens to your body and mind during a five-day water fast?". News-Medical. 17 January 2026. <https://appetitewellbeing.com/news/20250609/What-happens-to-your-body-and-mind-during-a-five-day-water-fast.aspx>.

  • Chicago

    Pramanik, Priyanjana. "What happens to your body and mind during a five-day water fast?". News-Medical. https://appetitewellbeing.com/news/20250609/What-happens-to-your-body-and-mind-during-a-five-day-water-fast.aspx. (accessed January 17, 2026).

  • Harvard

    Pramanik, Priyanjana. 2025. What happens to your body and mind during a five-day water fast?. News-Medical, viewed 17 January 2026, https://appetitewellbeing.com/news/20250609/What-happens-to-your-body-and-mind-during-a-five-day-water-fast.aspx.

Comments

The opinions expressed here are the views of the writer and do not necessarily reflect the views and opinions of News Medical.
Post a new comment
Post

While we only use edited and approved content for Azthena answers, it may on occasions provide incorrect responses. Please confirm any data provided with the related suppliers or authors. We do not provide medical advice, if you search for medical information you must always consult a medical professional before acting on any information provided.

Your questions, but not your email details will be shared with OpenAI and retained for 30 days in accordance with their privacy principles.

Please do not ask questions that use sensitive or confidential information.

Read the full Terms & Conditions.

You might also like...
Stopping weight loss drugs leads to rapid weight regain and health reversal