Routine immunization coverage declined in first year of COVID

People's mobility, livelihoods, access to health services, and public health infrastructure have been adversely affected by the ongoing coronavirus disease 2019 (COVID-19) pandemic.

Additionally, routine immunization (RI) coverage—which is estimated to prevent four to five million deaths worldwide every year—has seen a downward trend.

A new study published on the medRxiv* preprint server investigated changes in RI coverage using two key indicators – diphtheria-tetanus-pertussis first-dose (DTP1) and third-dose (DTP3). DTP3 serves as a general marker for immunization system performance, while DTP1 is used as a proxy for inequity - quantifying Zero Dose (ZD) children––those that receive no childhood vaccinations.

Study: Worldwide routine immunization coverage regressed during the first year of the COVID-19 pandemic. Image Credit: SamaraHeisz5 / Shutterstock

This news article was a review of a preliminary scientific report that had not undergone peer-review at the time of publication. Since its initial publication, the scientific report has now been peer reviewed and accepted for publication in a Scientific Journal. Links to the preliminary and peer-reviewed reports are available in the Sources section at the bottom of this article. View Sources

The Study

In this study, vaccination coverage data of the past 20 years were extracted from the World Health Organization (WHO) and United Nations Children's Fund (UNICEF) Estimates of National Immunization Coverage (WUENIC).

The Results

The findings revealed a global decline in DTP3 coverage of 2.9% from an expected 89.2% to a reported 86.3% across 167 reporting countries. Similar low coverage was last recorded in these countries in 2005 and demarcated a 15-year setback in RI progress.

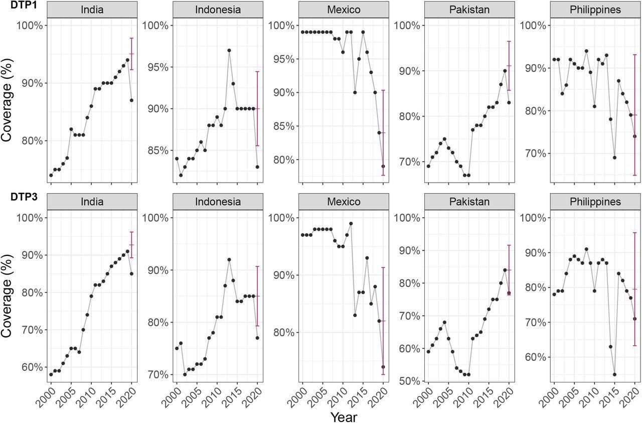
Expected and reported 2020 vaccine coverage for DTP1 and DTP3: example of five countries with most additional missed DTP3 immunisations in 2020. These graphs show WUENIC-reported coverage data (black dots) and the corresponding ARIMA predictions and the associated 95% confidence intervals (red bars).
Expected and reported 2020 vaccine coverage for DTP1 and DTP3: example of five countries with most additional missed DTP3 immunizations in 2020. These graphs show WUENIC-reported coverage data (black dots) and the corresponding ARIMA predictions and the associated 95% confidence intervals (red bars).

For DTP1, the average global coverage decline was 2.2% – from an expected 92.9% to a reported 90.7% across the 167 countries. This signified increases in the quantity of ZD children in some countries – this suggested that the most vulnerable populations have been strongly impacted by the reductions in RI observed in the first year of the pandemic. Hence, the current pandemic has widened the gap between people with limited healthcare access.

Patterns of RI coverage depicted marked variations across United Nations regions, with the most substantial decline observed in the Americas, Asia, and Africa compared to Europe and Oceania. Meanwhile, stronger declines in RI coverage were observed in lower-middle-income countries and upper-middle-income countries than in low-income countries. However, high-income countries did not show notable changes in their RI coverage.

Comparison between 2020 WUENIC-reported DTP3 coverage and expectations derived from historical trends. This scatterplot shows country coverage (WUENIC-reported actuals and ARIMA-predicted expectations) as dots. Lines around individual points illustrate the 95% confidence intervals (CI) of ARIMA predictions. Countries showing significant departure from expected values, i.e., for which actual coverage is outside the 95% CI of predictions, are indicated in red.
Comparison between 2020 WUENIC-reported DTP3 coverage and expectations derived from historical trends. This scatterplot shows country coverage (WUENIC-reported actuals and ARIMA-predicted expectations) as dots. Lines around individual points illustrate the 95% confidence intervals (CI) of ARIMA predictions. Countries showing significant departure from expected values, i.e., for which actual coverage is outside the 95% CI of predictions, are indicated in red.

Furthermore, regional differences remained after accounting for differences in income groups; however, the converse wasn't true. India estimated 3.5 million unvaccinated children for DTP3 in 2020, of which 52% were associated with the pandemic disruption. There were 1.1 million missed DTP3 vaccinations in Indonesia, of which 35% were associated with RI coverage declines in 2020. Besides, similar trends were observed for ZD children using DTP1 results.

Nonetheless, this study's estimated changes in RI coverage suggest a smaller global decline than previously found. Moreover, these findings may be more robust owing to a more comprehensive dataset including data from more countries.

The findings indicate a greater risk of vaccine-preventable disease outbreaks in the near future, especially in the absence of Supplementary Immunization Activities (SIAs) to reach missed children. In addition, ZD populations in key ZD "hotspots" – India, Pakistan, and Indonesia, are estimated to have increased significantly in 2020, posing a genuine public health threat.

Differences between expected and reported DTP3 vaccine coverage in 2020 across (A) UN regions and (B) income groups Points represent individual countries, grouped, and coloured according to (A) UN region classification and (B) World Bank income groups. Country coordinates on the X-axis were jittered for visibility. Values on the y-axis are indicated as absolute differences between reported and expected vaccine coverage, in percentages. Boxes show the median (50%), upper (75%) and lower (25%) quartile changes in coverage for each group, with whiskers extending to either the minimum/ maximum changes or the quartile value plus 1.5 times the interquartile range, and crosses indicating the average. The black dashed horizontal lines indicate no change in coverage. LIC: Low-income Country. LMIC: Lower-middle-income Country. UMIC: Upper-middle-income Country. HIC: High-income Country
Differences between expected and reported DTP3 vaccine coverage in 2020 across (A) UN regions and (B) income groups Points represent individual countries, grouped, and colored according to (A) UN region classification and (B) World Bank income groups. Country coordinates on the X-axis were jittered for visibility. Values on the y-axis are indicated as absolute differences between reported and expected vaccine coverage, in percentages. Boxes show the median (50%), upper (75%) and lower (25%) quartile changes in coverage for each group, with whiskers extending to either the minimum/ maximum changes or the quartile value plus 1.5 times the interquartile range, and crosses indicating the average. The black dashed horizontal lines indicate no change in coverage. LIC: Low-income Country. LMIC: Lower-middle-income Country. UMIC: Upper-middle-income Country. HIC: High-income Country

It was suggested that to alleviate such risks and reduce immunization inequities, SIAs should be targeted towards populations who have limited access to healthcare and encounter vaccine deprivation. In addition, future research should investigate heterogeneities in RI decline at finer scales and identify subpopulations that may have experienced even greater losses to RI coverage.

It was also stated that RI disruption might be worsened by the acceleration of COVID-19 vaccination campaigns, particularly in low- and middle-income countries, potentially competing with RI services. Therefore, careful monitoring is essential. Further studies are needed to understand which factors linked to the COVID-19 crisis impacted vaccination coverage to successfully and efficiently address pandemic-associated losses to coverage.

The findings of this study render a transparent and replicable rationale for estimating lapses in RI coverage across countries, producing an objective measure for missed immunizations and coverage disruptions. The results may serve as a basis for identifying countries most affected by declines in RI coverage and prioritizing efforts to modulate the indirect impact of COVID-19.

This news article was a review of a preliminary scientific report that had not undergone peer-review at the time of publication. Since its initial publication, the scientific report has now been peer reviewed and accepted for publication in a Scientific Journal. Links to the preliminary and peer-reviewed reports are available in the Sources section at the bottom of this article. View Sources

Journal references:

Article Revisions

  • May 9 2023 - The preprint preliminary research paper that this article was based upon was accepted for publication in a peer-reviewed Scientific Journal. This article was edited accordingly to include a link to the final peer-reviewed paper, now shown in the sources section.
Nidhi Saha

Written by

Nidhi Saha

I am a medical content writer and editor. My interests lie in public health awareness and medical communication. I have worked as a clinical dentist and as a consultant research writer in an Indian medical publishing house. It is my constant endeavor is to update knowledge on newer treatment modalities relating to various medical fields. I have also aided in proofreading and publication of manuscripts in accredited medical journals. I like to sketch, read and listen to music in my leisure time.

Citations

Please use one of the following formats to cite this article in your essay, paper or report:

  • APA

    Saha, Nidhi. (2023, May 09). Routine immunization coverage declined in first year of COVID. News-Medical. Retrieved on January 17, 2026 from https://appetitewellbeing.com/news/20211208/Routine-immunization-coverage-declined-in-first-year-of-COVID.aspx.

  • MLA

    Saha, Nidhi. "Routine immunization coverage declined in first year of COVID". News-Medical. 17 January 2026. <https://appetitewellbeing.com/news/20211208/Routine-immunization-coverage-declined-in-first-year-of-COVID.aspx>.

  • Chicago

    Saha, Nidhi. "Routine immunization coverage declined in first year of COVID". News-Medical. https://appetitewellbeing.com/news/20211208/Routine-immunization-coverage-declined-in-first-year-of-COVID.aspx. (accessed January 17, 2026).

  • Harvard

    Saha, Nidhi. 2023. Routine immunization coverage declined in first year of COVID. News-Medical, viewed 17 January 2026, https://appetitewellbeing.com/news/20211208/Routine-immunization-coverage-declined-in-first-year-of-COVID.aspx.

Comments

The opinions expressed here are the views of the writer and do not necessarily reflect the views and opinions of News Medical.
Post a new comment
Post

Sign in to keep reading

We're committed to providing free access to quality science. By registering and providing insight into your preferences you're joining a community of over 1m science interested individuals and help us to provide you with insightful content whilst keeping our service free.

or

While we only use edited and approved content for Azthena answers, it may on occasions provide incorrect responses. Please confirm any data provided with the related suppliers or authors. We do not provide medical advice, if you search for medical information you must always consult a medical professional before acting on any information provided.

Your questions, but not your email details will be shared with OpenAI and retained for 30 days in accordance with their privacy principles.

Please do not ask questions that use sensitive or confidential information.

Read the full Terms & Conditions.

You might also like...
School-based HPV vaccination protects even unvaccinated women