Researchers find possible cause for SARS-CoV-2 reactive T cells in uninfected individuals

The current pandemic of COVID-19 is caused by the severe acute respiratory syndrome coronavirus (SARS-CoV) -2, leading to severe pneumonia, acute respiratory distress syndrome, and death in a sizable minority of cases. However, the most significant number are asymptomatic or have only mild infection from which they rapidly recover.

A new study by researchers in Germany and published on the preprint server bioRxiv* in July 2020 shows that T cells reactive to the virus exist in uninfected individuals, suggesting a preformed T cell memory in unexposed people.

Different Manifestations, Different Immunity

The range of manifestations of COVID-19 includes asymptomatic infection, mild fever, and cough, mild pneumonia, severe pneumonia, and Acute Respiratory Distress Syndrome (ARDS). The various factors involved in this diverse range of symptomatology include impaired immunoregulation, the cytokine storm, and the decreased number of immune cells.

T cells are adaptive immune cells that recognize antigenic peptides presented by specialized cells bearing HLA I or II molecules. The peptides presented on cells that have HLA I molecules on their surface are recognized by CD8 cytotoxic T cells. Still, those with HLA II molecules present antigens that are recognized by CD4 T helper cells.

Analysis approach
Analysis approach

This news article was a review of a preliminary scientific report that had not undergone peer-review at the time of publication. Since its initial publication, the scientific report has now been peer reviewed and accepted for publication in a Scientific Journal. Links to the preliminary and peer-reviewed reports are available in the Sources section at the bottom of this article. View Sources

Cross-Reactive T Cells

The current study was motivated by the finding of specific T cells targeting the SARS-CoV-2. In other words, the immune response to the SARS-CoV-2 virus involves T cells, but healthy individuals are also able to respond to peptides derived from the viral S protein. This may mean that they already have preexisting immunity to this virus. The source of such exposure is unknown, though one epitope common to influenza and SARS-CoV-2 viruses has been found.

The researchers consider that the endemic human coronaviruses (CoVs) are likely to have induced this immunity to the current virus since their genomes have a high degree of similarity to it. However, earlier serologic studies have reported that the antibody response to these endemic viruses wanes after 4-12 months. It could also be possible that the same CoV can cause reinfection within this period. Overall, these endemic CoVs do not seem to generate lasting immunity.

The correlation between antibody and T cell response is not known. The genetic drift in endemic CoVs occurs at a slower pace than for influenza viruses A and B, which could indicate that the presence of T cells reactive to the S protein of the current SARS-CoV-2 was due to other common pathogens, and not just the endemic CoVs.

Some viruses and bacteria have peptides (k-mers) matching SARS-CoV-2 epitopes
Some viruses and bacteria have peptides (k-mers) matching SARS-CoV-2 epitopes

The Study: Finding Epitopes Similar to SARS-CoV-2 Epitopes

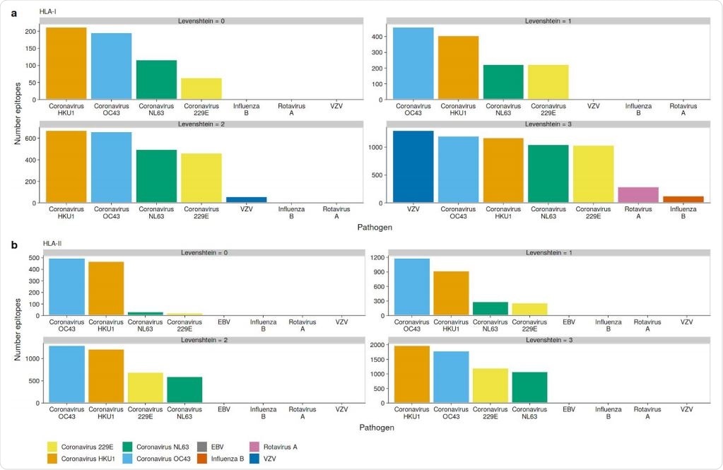
The researchers carried out an in silico analysis of specific epitopes supposed to be important in the pathogenicity of the virus. Despite some dissimilarity, the varicella-zoster virus (VZV) has the highest number of epitopes predicted for the SARS-CoV-2 virus, but only those which bind to HLA class I molecules, especially HLA-B and HLA-C.

The researchers said, “We find the highest number of similar SARS-CoV-2 HLA-I epitopes in VZV, followed by OC43, and HKU1 with 1292, 1189, and 1163 epitopes, respectively.” HLA-II binding epitopes did not show this similarity.

However, the fact remains that T cells reactive to the SARS-CoV-2 comprise both the CD4 and CD8 cells, those which react to antigens bound by HLA-I or HLA-II classes. This means that the VZV is unlikely to be the only pathogen behind the cross-reactive T cells. Instead, the highest number of epitopes in common are found among the endemic CoVs, especially the beta-CoVs.

OC43 and HKU1 epitopes can be presented on many HLAs
OC43 and HKU1 epitopes can be presented on many HLAs

Limitations and Conditions of the Study

The epitopes that bind to HLA-I molecules were predicted with high accuracy, but those which bind to HLA-II molecules not so much. This could be due to the fact that HLA-II is in the form of a dimer that forms the peptide-binding groove, leading to over 4,000 different possible combinations, compared to the far fewer combinations possible with the HLA-I and β2-microglobulin chains.

The current study focused on the HLA sets most common in Europe, avoiding those which include laboratory model antigens, such as the human autoantigen and those from the parasite Trypanosoma cruzi.

Using a smaller amino acid set for epitope identification helped compare sequences without the need for prior alignment since the k-mer nucleotide sequence is part of the target protein. While this might alter the results, it is unlikely since the anchor amino acids are deep within the HLA molecule.

Implications

The findings mean that the betacoronaviruses OC43 and HKU1 are most probably responsible for the preformed T cell immunity specific to SARS-CoV-2 displayed by the uninfected individuals in this study. This also means that these viruses are capable of eliciting durable or permanent T cell responses, given the lack of identity between the epitopes of these different viruses.

This news article was a review of a preliminary scientific report that had not undergone peer-review at the time of publication. Since its initial publication, the scientific report has now been peer reviewed and accepted for publication in a Scientific Journal. Links to the preliminary and peer-reviewed reports are available in the Sources section at the bottom of this article. View Sources

Journal references:

Article Revisions

  • Mar 25 2023 - The preprint preliminary research paper that this article was based upon was accepted for publication in a peer-reviewed Scientific Journal. This article was edited accordingly to include a link to the final peer-reviewed paper, now shown in the sources section.
Dr. Liji Thomas

Written by

Dr. Liji Thomas

Dr. Liji Thomas is an OB-GYN, who graduated from the Government Medical College, University of Calicut, Kerala, in 2001. Liji practiced as a full-time consultant in obstetrics/gynecology in a private hospital for a few years following her graduation. She has counseled hundreds of patients facing issues from pregnancy-related problems and infertility, and has been in charge of over 2,000 deliveries, striving always to achieve a normal delivery rather than operative.

Citations

Please use one of the following formats to cite this article in your essay, paper or report:

  • APA

    Thomas, Liji. (2023, March 25). Researchers find possible cause for SARS-CoV-2 reactive T cells in uninfected individuals. News-Medical. Retrieved on January 19, 2026 from https://appetitewellbeing.com/news/20200702/Researchers-find-possible-cause-for-SARS-CoV-2-reactive-T-cells-in-uninfected-individuals.aspx.

  • MLA

    Thomas, Liji. "Researchers find possible cause for SARS-CoV-2 reactive T cells in uninfected individuals". News-Medical. 19 January 2026. <https://appetitewellbeing.com/news/20200702/Researchers-find-possible-cause-for-SARS-CoV-2-reactive-T-cells-in-uninfected-individuals.aspx>.

  • Chicago

    Thomas, Liji. "Researchers find possible cause for SARS-CoV-2 reactive T cells in uninfected individuals". News-Medical. https://appetitewellbeing.com/news/20200702/Researchers-find-possible-cause-for-SARS-CoV-2-reactive-T-cells-in-uninfected-individuals.aspx. (accessed January 19, 2026).

  • Harvard

    Thomas, Liji. 2023. Researchers find possible cause for SARS-CoV-2 reactive T cells in uninfected individuals. News-Medical, viewed 19 January 2026, https://appetitewellbeing.com/news/20200702/Researchers-find-possible-cause-for-SARS-CoV-2-reactive-T-cells-in-uninfected-individuals.aspx.

Comments

The opinions expressed here are the views of the writer and do not necessarily reflect the views and opinions of News Medical.
Post a new comment
Post

Sign in to keep reading

We're committed to providing free access to quality science. By registering and providing insight into your preferences you're joining a community of over 1m science interested individuals and help us to provide you with insightful content whilst keeping our service free.

or

While we only use edited and approved content for Azthena answers, it may on occasions provide incorrect responses. Please confirm any data provided with the related suppliers or authors. We do not provide medical advice, if you search for medical information you must always consult a medical professional before acting on any information provided.

Your questions, but not your email details will be shared with OpenAI and retained for 30 days in accordance with their privacy principles.

Please do not ask questions that use sensitive or confidential information.

Read the full Terms & Conditions.

You might also like...
Long COVID symptoms change for 15 months after infection