Protein profile in serum reflects COVID-19 severity

The wide range of manifestations of COVID-19 has continued to baffle investigators. Now, a new study published on the preprint server medRxiv* in June 2020 shows that blood proteins in COVID-19 patients change over time, and these can possibly predict or reflect the severity of disease. More, they may present targets for treatment.

At present, reliable disease markers are not available either to predict the progression of the infection to severe or critical disease. However, these patients often demonstrate a cytokine storm and a deficiency of lymphocytes. Excessive inflammatory cytokine levels are related to the rapid worsening of the illness or a poor therapeutic response. Thus, it becomes essential to distinguish predictive markers to begin treatment during the stage when the disease is potentially reversible.

The Study: Protein-Severity Correlation

The current study aims at developing a protein profile that can distinguish mild, moderate, and severe COVID-19, and also detect other markers of central nervous system injury in the blood to confirm the occurrence of such a viral impact on the CNS.

As expected, mild infection occurred at significantly younger ages, and females were significantly under-represented in the critical or severe infection groups. Also, the number of days since symptom onset was much higher with mild vs. severe or critical infection.

The researchers from King's College London, University of Gothenburg and Sahlgrenska University Hospital measured 368 proteins in each of 87 samples, comprising 92 proteins each from cardiovascular, immune, inflammatory, and neurological compartments. The final analysis consisted of 355 proteins, of which 344 were unique.

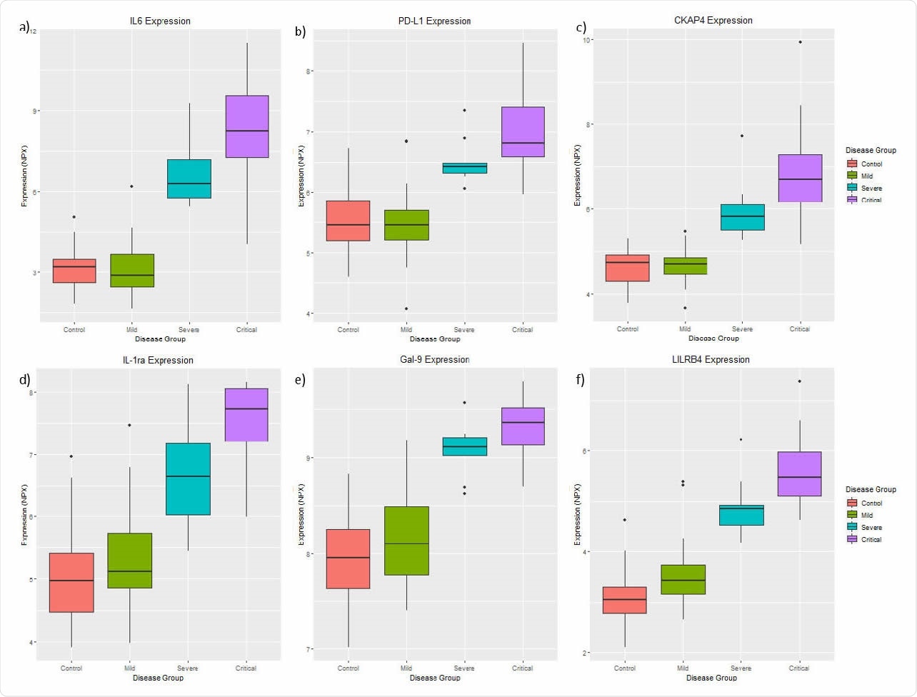
Six proteins a) IL6, b) PD-L1, c) CKAP4, d) IL-1ra e) Gal-9 and f) LILRB4 are consistently differentially expressed between the control, the mild, the severe and the critical symptom groups after controlling for age, gender, and “days since symptom onset”, suggesting these proteins may be associated with disease severity.
Six proteins a) IL6, b) PD-L1, c) CKAP4, d) IL-1ra e) Gal-9 and f) LILRB4 are consistently differentially expressed between the control, the mild, the severe and the critical symptom groups after controlling for age, gender, and “days since symptom onset”, suggesting these proteins may be associated with disease severity.

This news article was a review of a preliminary scientific report that had not undergone peer-review at the time of publication. Since its initial publication, the scientific report has now been peer reviewed and accepted for publication in a Scientific Journal. Links to the preliminary and peer-reviewed reports are available in the Sources section at the bottom of this article. View Sources

Protein Pattern Changes with Infection

When the cases (mild, moderate, or severe COVID-19) were analyzed vs. the controls, the researchers found that 269 proteins showed significantly different expression in cases. Among these, 120 were expressed at higher levels, and the rest at lower levels, in infected patients.

Thus, more than three-fourth of proteins in this study show significant changes in cases compared to age-matched controls. The greatest difference was seen with the NF2 (neurofibromin 2) protein that was downregulated in all cases. This protein, also called the Merlin protein, acts as a tumor suppressor by inhibiting cell proliferation and regulating cell survival, apoptosis, adhesion, and motility, as well as mitogenic pathways at tight epithelial junctions. Its deficiency, therefore, causes unregulated mitogenic signaling and tumor formation.

These proteins could be mapped to 285 metabolic pathways, with the most enriched pathway being the cytokine-cytokine receptor interaction.

Six-Protein Cohort Reflects Severe COVID-19

Six proteins increased in proportion with symptom severity. None of these are found in the CNS panel. These six include IL-6, which is repeated on three of the four panels, and the consistent pattern observed in all the panels shows that it plays a critical role in COVID-19 severity.

IL-6 is an interleukin found in the inflammatory pathway, an acute phase cytokine that may mirror the inflammation caused by severe acute respiratory syndrome coronavirus 2 (SARS-CoV-2) in lung tissue. Its levels are elevated in acute respiratory distress syndrome (ARDS) in COVID-19 and may be a predictor of higher odds of mortality. Thus, this may be a marker of severe COVID-19.

The monoclonal antibody tocilizumab is an IL-6 inhibitor being used to treat rheumatoid arthritis and is being used in various settings to mitigate severe COVID-19 symptoms.

All the six proteins, namely, IL6, CKAP4, Gal-9, IL-1ra, 185 LILRB4, and PD-L1, are linked to the immune pathway. Cytoskeleton Associated Protein 4 (CKAP4) is an innate immune component, helping to anchor cellular endoplasmic reticulum.

Galectin 9 (Gal-9) is one of the beta-galactoside binding proteins that help regulate interactions between cells and between cells and the matrix. It is found to be increased in many infections.

Interleukin-1 receptor antagonist protein (IL-1ra) is an anti-inflammatory protein that is elevated in severe COVID-19. Anakinra is a recombinant form of this molecule currently used in inflammatory conditions and is being tested in COVID-19 patients.

Programmed cell death 1 ligand 1 (PD-L1) is a protein that binds to T cell receptors to inhibit T cell activation and reduce cytokine secretion. This is important to regulate the immune response and prevent autoimmunity.

Neuronal Injury in COVID-19

Simultaneously, three neuronal proteins were found to be correlated to the injury of the neurons and gliosis. Among these, Nfl protein was a marker of CNS damage in severe disease. However, the investigators suggest that the most probable reason for neurological injury in severe COVID-19 is severe respiratory failure, with CNS hypoxia, thrombosis in the smaller brain vessels, and the cytokine storm.

Implications

Despite the apparent limitations of the study, such as the lack of correlation with clinical data like comorbidities, the small sample size, and the absence of data on concomitant use of medication, it is valuable in identifying six proteins that can be markers of COVID-19 severity, and which show that viral infection triggers a cytokine storm that causes or worsens lung injury.

The study concludes, "These proteins warrant further investigation but could provide potential as early biomarkers for disease severity and may serve as potential therapeutic targets, or as biomarkers to monitor the effect of treatments to modulate the immune system or suppress the infection."  

This news article was a review of a preliminary scientific report that had not undergone peer-review at the time of publication. Since its initial publication, the scientific report has now been peer reviewed and accepted for publication in a Scientific Journal. Links to the preliminary and peer-reviewed reports are available in the Sources section at the bottom of this article. View Sources

Source:
Journal references:

Article Revisions

  • Mar 22 2023 - The preprint preliminary research paper that this article was based upon was accepted for publication in a peer-reviewed Scientific Journal. This article was edited accordingly to include a link to the final peer-reviewed paper, now shown in the sources section.
Dr. Liji Thomas

Written by

Dr. Liji Thomas

Dr. Liji Thomas is an OB-GYN, who graduated from the Government Medical College, University of Calicut, Kerala, in 2001. Liji practiced as a full-time consultant in obstetrics/gynecology in a private hospital for a few years following her graduation. She has counseled hundreds of patients facing issues from pregnancy-related problems and infertility, and has been in charge of over 2,000 deliveries, striving always to achieve a normal delivery rather than operative.

Citations

Please use one of the following formats to cite this article in your essay, paper or report:

  • APA

    Thomas, Liji. (2023, March 22). Protein profile in serum reflects COVID-19 severity. News-Medical. Retrieved on January 17, 2026 from https://appetitewellbeing.com/news/20200625/Protein-profile-in-serum-reflects-COVID-19-severity.aspx.

  • MLA

    Thomas, Liji. "Protein profile in serum reflects COVID-19 severity". News-Medical. 17 January 2026. <https://appetitewellbeing.com/news/20200625/Protein-profile-in-serum-reflects-COVID-19-severity.aspx>.

  • Chicago

    Thomas, Liji. "Protein profile in serum reflects COVID-19 severity". News-Medical. https://appetitewellbeing.com/news/20200625/Protein-profile-in-serum-reflects-COVID-19-severity.aspx. (accessed January 17, 2026).

  • Harvard

    Thomas, Liji. 2023. Protein profile in serum reflects COVID-19 severity. News-Medical, viewed 17 January 2026, https://appetitewellbeing.com/news/20200625/Protein-profile-in-serum-reflects-COVID-19-severity.aspx.

Comments

The opinions expressed here are the views of the writer and do not necessarily reflect the views and opinions of News Medical.
Post a new comment
Post

Sign in to keep reading

We're committed to providing free access to quality science. By registering and providing insight into your preferences you're joining a community of over 1m science interested individuals and help us to provide you with insightful content whilst keeping our service free.

or

While we only use edited and approved content for Azthena answers, it may on occasions provide incorrect responses. Please confirm any data provided with the related suppliers or authors. We do not provide medical advice, if you search for medical information you must always consult a medical professional before acting on any information provided.

Your questions, but not your email details will be shared with OpenAI and retained for 30 days in accordance with their privacy principles.

Please do not ask questions that use sensitive or confidential information.

Read the full Terms & Conditions.

You might also like...
Targeting CSE enzyme may offer new pathways for Alzheimer’s treatment